SL Paper 1
Two pulses are travelling towards each other.
What is a possible pulse shape when the pulses overlap?
A car moves north at a constant speed of 3m s–1 for 20s and then east at a constant speed of 4m s–1 for 20s. What is the average speed of the car during this motion?
A. 7.0m s–1
B. 5.0m s–1
C. 3.5m s–1
D. 2.5m s–1
Light of wavelength 400nm is incident on two slits separated by 1000µm. The interference pattern from the slits is observed from a satellite orbiting 0.4Mm above the Earth. The distance between interference maxima as detected at the satellite is
A. 0.16Mm.
B. 0.16km.
C. 0.16m.
D. 0.16mm.
A boy jumps from a wall 3m high. What is an estimate of the change in momentum of the boy when he lands without rebounding?
A. 5×100 kg m s–1
B. 5×101 kg m s–1
C. 5×102 kg m s–1
D. 5×103 kg m s–1
Which lists one scalar and two vector quantities?
A. Mass, momentum, potential difference
B. Mass, power, velocity
C. Power, intensity, velocity
D. Power, momentum, velocity
An object is positioned in a gravitational field. The measurement of gravitational force acting on the object has an uncertainty of 3 % and the uncertainty in the mass of the object is 9 %. What is the uncertainty in the gravitational field strength of the field?
A. 3 %
B. 6 %
C. 12 %
D. 27 %
The diagram shows an analogue meter with a mirror behind the pointer.
What is the main purpose of the mirror?
A. To provide extra light when reading the scale
B. To reduce the risk of parallax error when reading the scale
C. To enable the pointer to be seen from different angles
D. To magnify the image of the pointer
What is the unit of power expressed in fundamental SI units?
A.
B.
C.
D.
A student measures the radius r of a sphere with an absolute uncertainty Δr. What is the fractional uncertainty in the volume of the sphere?
A.
B.
C.
D.
A ball of mass (50 ± 1) g is moving with a speed of (25 ± 1) m s−1. What is the fractional uncertainty in the momentum of the ball?
A. 0.02
B. 0.04
C. 0.06
D. 0.08
A student measures the length l and width w of a rectangular table top.
What is the absolute uncertainty of the perimeter of the table top?
A.
B.
C.
D.
The radius of a circle is measured to be (10.0 ± 0.5) cm. What is the area of the circle?
A. (314.2 ± 0.3) cm2
B. (314 ± 1) cm2
C. (314 ± 15) cm2
D. (314 ± 31) cm2
Which is a unit of force?
A. J m
B. J m–1
C. J m s–1
D. J m–1 s
What is the unit of electrical potential difference expressed in fundamental SI units?
A. kg m s-1 C-1
B. kg m2 s-2 C-1
C. kg m2 s-3 A-1
D. kg m2 s-1 A
A student measures the radius R of a circular plate to determine its area. The absolute uncertainty in R is ΔR.
What is the fractional uncertainty in the area of the plate?
A.
B.
C.
D.
An object has a weight of 6.10 × 102 N. What is the change in gravitational potential energy of the object when it moves through 8.0 m vertically?
A. 5 kJ
B. 4.9 kJ
C. 4.88 kJ
D. 4.880 kJ
Which quantity has the fundamental SI units of kg m–1 s–2?
A. Energy
B. Force
C. Momentum
D. Pressure
A student measures the time for 20 oscillations of a pendulum. The experiment is repeated four times. The measurements are:
10.45 s
10.30 s
10.70 s
10.55 s
What is the best estimate of the uncertainty in the average time for 20 oscillations?
A. 0.01 s
B. 0.05 s
C. 0.2 s
D. 0.5 s
What is the order of magnitude of the wavelength of visible light?
A. 10−10 m
B. 10−7 m
C. 10−4 m
D. 10−1 m
An object is held in equilibrium by three forces of magnitude F, G and H that act at a point in the same plane.
Three equations for these forces are
I. F cos θ = G
II. F = G cos θ + H sin θ
III. F = G + H
Which equations are correct?
A. I and II only
B. I and III only
C. II and III only
D. I, II and III
The velocities vX and vY of two boats, X and Y, are shown.

Which arrow represents the direction of the vector vX – vY?

A stone falls from rest to the bottom of a water well of depth d. The time t taken to fall is 2.0 ±0.2 s. The depth of the well is calculated to be 20 m using d = at 2. The uncertainty in a is negligible.
What is the absolute uncertainty in d?
A. ± 0.2 m
B. ± 1 m
C. ± 2 m
D. ± 4 m
What is the unit of power expressed in fundamental SI units?
A. kg m s–2
B. kg m2 s–2
C. kg m s–3
D. kg m2 s–3
Two parallel wires are perpendicular to the page. The wires carry equal currents in opposite directions. Point S is at the same distance from both wires. What is the direction of the magnetic field at point S?
Which quantity has the same units as those for energy stored per unit volume?
A. Density
B. Force
C. Momentum
D. Pressure
The length of the side of a cube is 2.0 cm ± 4 %. The mass of the cube is 24.0 g ± 8 %. What is the percentage uncertainty of the density of the cube?
A. ± 2 %
B. ± 8 %
C. ± 12 %
D. ± 20 %
Two sets of data, shown below with circles and squares, are obtained in two experiments. The size of the error bars is the same for all points.
What is correct about the absolute uncertainty and the fractional uncertainty of the y intercept of the two lines of best fit?
Which is a vector quantity?
A. Acceleration
B. Energy
C. Pressure
D. Speed
A student wants to determine the angular speed ω of a rotating object. The period T is 0.50 s ±5 %. The angular speed ω is
What is the percentage uncertainty of ω?
A. 0.2 %
B. 2.5 %
C. 5 %
D. 10 %
What are the units of specific energy and energy density?
A list of four physical quantities is
- acceleration
- energy
- mass
- temperature
How many scalar quantities are in this list?
A. 1
B. 2
C. 3
D. 4
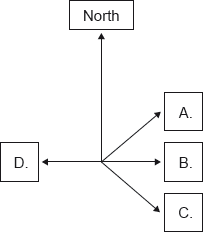
A river flows north. A boat crosses the river so that it only moves in the direction east of its starting point.
What is the direction in which the boat must be steered?

What is the unit of electrical energy in fundamental SI units?
A. kg m2 C–1 s
B. kg m s–2
C. kg m2 s–2
D. kg m2 s–1 A
What is the best estimate for the diameter of a helium nucleus?
A. 10–21 m
B. 10–18 m
C. 10–15 m
D. 10–10 m
The magnitude of the resultant of two forces acting on a body is 12 N. Which pair of forces acting on the body can combine to produce this resultant?
A. 1 N and 2 N
B. 1 N and 14 N
C. 5 N and 6 N
D. 6 N and 7 N
A student models the relationship between the pressure p of a gas and its temperature T as p = + T.
The units of p are pascal and the units of T are kelvin. What are the fundamental SI units of and ?
Two different experiments, P and Q, generate two sets of data to confirm the proportionality of variables and . The graphs for the data from P and Q are shown. The maximum and minimum gradient lines are shown for both sets of data.
What is true about the systematic error and the uncertainty of the gradient when P is compared to Q?
Which of the following is a scalar quantity?
A. Velocity
B. Momentum
C. Kinetic energy
D. Acceleration
The graphs show the variation of the displacement y of a medium with distance and with time t for a travelling wave.
What is the speed of the wave?
A. 0.6 m s–1
B. 0.8 m s–1
C. 600 m s–1
D. 800 m s–1
How many significant figures are there in the number 0.0450?
A. 2
B. 3
C. 4
D. 5
Which is a vector quantity?
A. Pressure
B. Electric current
C. Temperature
D. Magnetic field